Mindeporte da vía libre a estos 111 ciclistas para entrenar al aire libre
Los corredores pertenecen a las categorías World Tour, Pro Continentales y continentales UCI,

Una muy buena noticia recibieron 111 ciclistas colombianos por parte del Ministerio del Interior y el Ministerio del deporte después de que se autorizara, mediante la circular CRID20220-53-DMI-100, volver a los entrenamientos al aire libre en las carreteras del territorio nacional.
Tras recibir la notificación, la Federación Colombiana de Ciclismo explicó que los deportistas habilitados son los 111 corredores pertenecientes a las categorías World Tour, Pro Continentales y continentales UCI en las ramas femenina y masculina.
Lea también: Queiroz cree que el fútbol ahora es "rehén" de la salud y la economía
Sin embargo, la FCC manifestó que seguirá trabajando para que las autoridades autoricen a que los ciclistas profesionales de marca del país, de categoría sub 23 y debidamente federados puedan contar con el aval para entrenar en carretera.
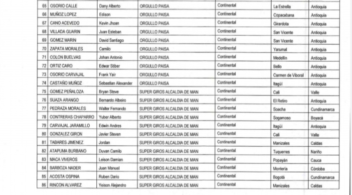
Estos son los 111 ciclistas que recibieron la autorización de entrenar al aire libre:
Le puede interesar: Goles 'tristes': así se celebra una anotación en época de coronavirus



